正源家庭农场
美国正源教育集团
正源摄影
正源电视台
网站地图
首页
学校概况
正源快讯
美国正源教育
正源电视台
教育教学
学生天地
高考专栏
学科奥赛
招生招聘
媒体看正源
学生社团
学校简介
魅力正源
学校荣誉
教师风采
组织机构
光荣榜
校训校歌
地理位置
学校新闻
高中部新闻
初中部新闻
小学部新闻
长沙正源艺术培训学校
校长手稿
正报
正源·Sundance幼儿园
正源职教城
各种讲话稿
教育动态
通知公告
学生家访
美国正源简介
美国正源动态
美国正源活动视频
美国正源视频
Sundance School
正源摄像
正源录音
北京励志
大型活动
腾讯网视频动态
德育工作
教研教改
名师风采
优秀教案
党委团委少工委
制度法规
主题活动
家长课堂
国旗下的讲话
学科建设
计划总结
教育新闻
学生风采
校广播站
校报校刊
正源之声
学习方法
心理健康
学生、家长来信
写作园地
高一班级网站
心灵港湾
正源电视台
准高一班级网站
高考喜报
高考录取榜
高考奖励
学生话高考
奥赛成绩
校外竞赛
校内竞赛
数学冲关
招生专栏
招聘信息
特色教育
联系我们
媒体文章
媒体视频
媒体论坛文章
媒体博客
学生社团联合会
青麓文学社
ATP动漫社
源作文学社
ZERO舞社
英语社团
安氏音乐社
轩雅音乐社
语色话剧社
政源时政社
卅忆摄影社
回廊文学社
会员登录
用户名:
密 码:
验证码:
保持登录状态
没有帐号?
点此注册
忘记密码?
栏目导航
本月排行TOP10
马力全开过龙门 守正创新谱新…
神骏奔来,马力全开——正源…
筑牢思想根基 砥砺育人 勇于…
正源学校2026春季开学典礼暨…
正源学校2026年春季开学典礼…
罗校长在正源学校2026年春季…
校党支部书记毛小波在正源学…
校长掌勺,正源学校第一堂烹…
正源学校2026年春季开学典礼…
趣味运动绽活力 童心飞扬乐满…
最新推荐
关于正源学校建校20周年校庆…
正源学校2025年高考情况汇报
拼搏一年 幸福一生——正源学…
让科学与艺术在正源比翼齐飞…
让艺体给我们插上飞翔的翅膀…
正源学校2024年高考录取榜
正源学校2024年文军奖学金获…
正源学校2024年秋季招生信息…
三本线下100分还有上一本的希…
正源学校2023年高考录取榜
网站统计
查阅网站在线详情 >>
您现在的位置:
正源学校
>>
正源快讯
>>
学校新闻
>>
正文内容
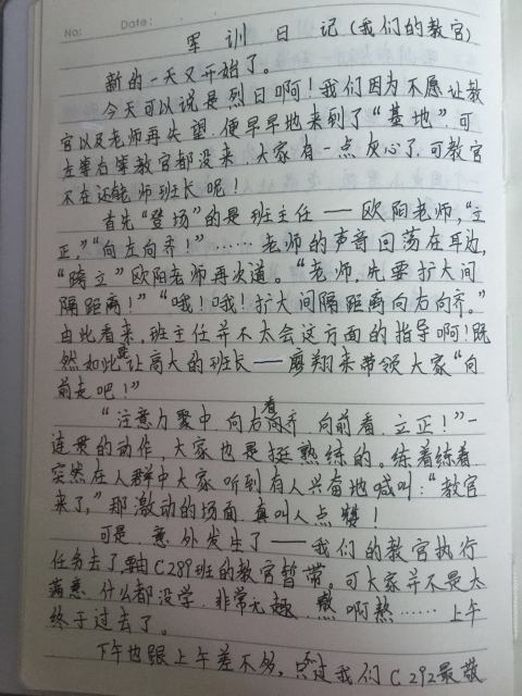
军训日记(选登)
作者:
初一学生
来源:
本站原创
发布时间:2016年09月10日 点击数:
军训,是辛苦的,同时又是快乐的,令人兴奋,令人激动,令人期待,令人不舍。同学们在训练之余,用日记写下了他们的酸甜苦辣。
【 推荐 / 匡烨 审编 / 郑少君 】
感动
同情
无聊
愤怒
搞笑
难过
高兴
路过
【字体:
小
大
】【
收藏
】【
打印文章
】【
查看评论
】
上一篇:
学校设宴喜迎108位新老师倾情加盟
下一篇:
教师节,学校领导慰问老师
相关文章
没有相关内容