小学部六年级举行作文竞赛颁奖会
11月26日下午,小学部六年级作文竞赛颁奖会在小学部运动场举行,大会由年级主任刘龙军老师主持,特邀小学部学部主任罗俊豪、学部副主任兼语文教研主任贺江云参加。
为激发小学生的爱国热情,为增强孩子们的爱国意识,小学部六年级以“爱国”为主题的作文竞赛,于10月19日晚自习8︰00正式举行。全体936名同学参赛。时长一个小时,九点整顺利结束。
经过六年级各位语文老师的认真批阅,评选出102名获奖学生,其中:“作文之星”3名,一等奖9名,二等奖17名,三等奖22名,优秀奖51名。部分获奖名单如下:
作文之星:
蒋萍(268) 贺洋(162) 罗莉(268)
一等奖:
陈素芝(271) 陈诗琪(162) 曹丹丹(154) 罗琪(268)
陆家园(269) 龙婷婷(162) 廖丽文(268) 陈熙(269) 李婕(154)
二等奖:
廖申玉(265) 谷佳倩(164) 梁利蓉(268) 蒋祺(268)
陈欢(151) 蒋玲欢(268) 陈娜(268) 黄冬佟(269) 胡洋(162)
谢夏谊(268) 黄素菲(154) 李佳丽(162) 曾玲静(155) 刘锦(270)
雷彪(152) 曹颖(164) 曾彤(270)
三等奖:
张梦婷(155) 谭慧灵(160) 曾紫凰(268) 贺亚敏(271) 廖小虎(158)
宋园园(158) 彭美慧(269) 何子贤(159) 阳娇(269) 谢厦丽(163)
肖雅芳(270) 罗恒(162) 刘仁环(268) 胡依(269) 肖丽萍(158)
刘智丹(158) 杨思(270) 邓云蕊(162) 蒋灿(160) 郭中静(269)
杨超(159) 曹鹏(269)
优秀奖:略
六年级语文备课组长刘丽娟老师宣读了获奖名单,并作了全面总结,年级领导为获奖同学颁发奖状和奖品,并与获奖同学合影。大会在同学们热烈的掌声中圆满结束。
部分获奖作文选登
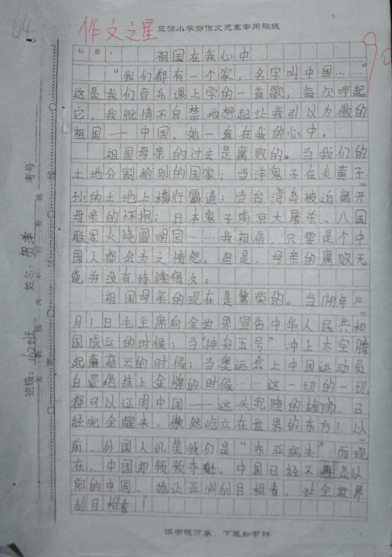
162班 贺洋 作文之星
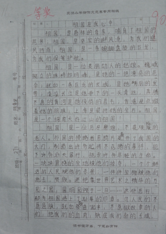
271班 陈素芝 一等奖
268班 廖丽文 一等奖
269班 陈熙 一等奖
151班 陈欢 二等奖
268班 梁利蓉 二等奖
155班 曾玲静 二等奖
268班 曾紫凰 三等奖
151班 戴静怡 优秀奖
| 感动 | 同情 | 无聊 | 愤怒 | 搞笑 | 难过 | 高兴 | 路过 |
- 上一篇:长寒乍暖迎赛事 初生牛犊如脱兔 —— …
- 下一篇:四年级拔河比赛圆满落幕
相关文章
-
没有相关内容

会员登录