“冬游那些事儿”——小学部六年级举行冬游作文比赛
11月27日,小学部六年级全体师生响应罗校长的号召,开展了一场“说走就走的冬游”活动。
虽然同学们已然不是第一次参与学校组织的相关活动了,但每一次活动都给同学们带来了不同的向往和收获,这一次冬游更不例外。同学们从学校走向更广阔的天地,锻炼体力,磨练意志,开扩视野,体验美好世界,增强学生团结协作的集体意识,树立自律自立的观念,收获满满。为此本年级特围绕“冬游那些事儿”举办了一次别有深意的征文比赛。
本次征文比赛于12月19日晚举行,共分为初赛和复赛。本次初赛由全年级950名同学全员参与。通过本年级八位语文老师针对所教班级内部的逐一筛选,最终确定了101位同学进入第二轮复赛。在第二轮复赛中,密封装订,由八位语文老师依次阅卷,以确保比赛的真实性和公平性。在本次征文比赛中评选出一等奖11名,二等奖19名,三等奖15名。
孩子们用自己的双手创设了一个又一个美妙的写作天堂。在他们的笔下,多了一份趣味,多了一份童真,多了一份责任。老师们发觉原本稚嫩的孩子们都已长大了,他们身后已长出了有力的羽翼,在属于他们的小天地里展翅高飞。他们学会了感恩师长,学会了团结协作,学会了苦中作乐,学会了坚持就是胜利!
六年级征文比赛获奖名单与成绩:
一等奖(11名):
265 廖申玉90.0
162 陈诗琪89.8
162 谭戎89.8
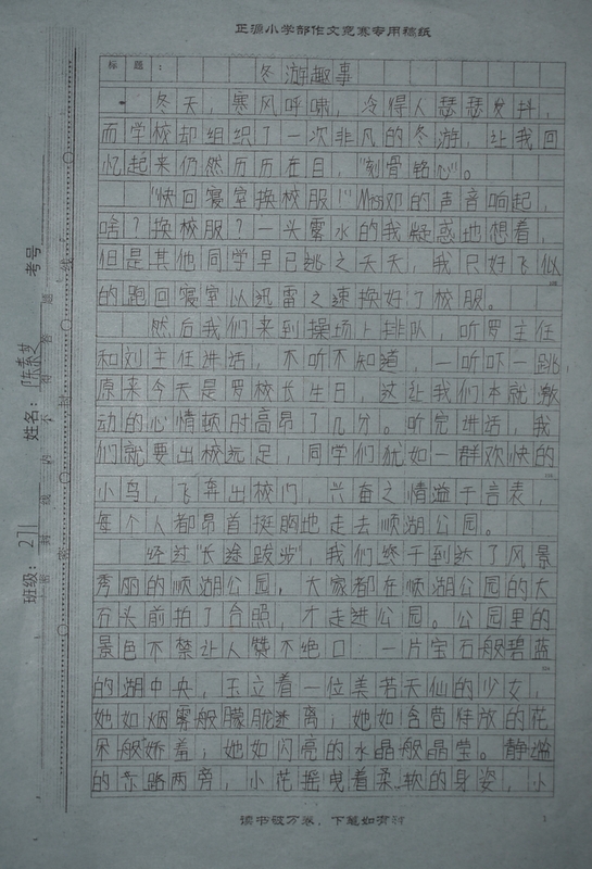
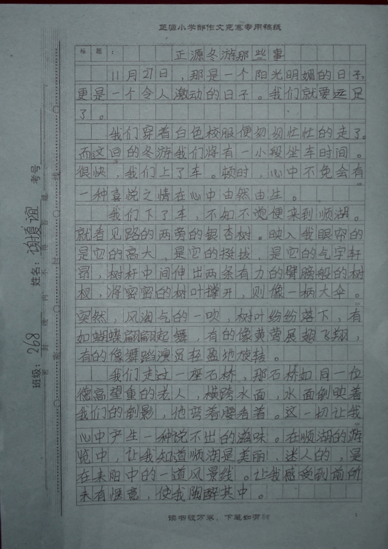
268 谢夏谊89.7
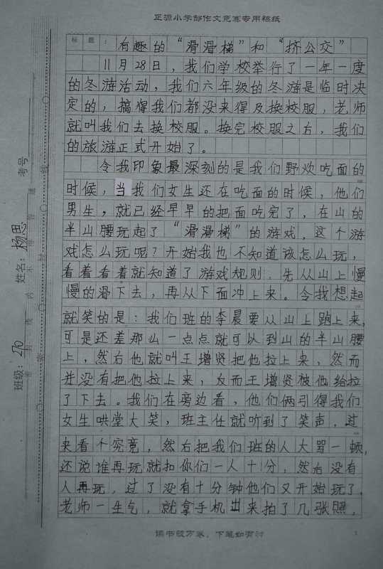
270 杨思89.7
164 曹颖89.7
162 贺洋89.7
154 曹丹丹89.3
271 陈素芝89.2
162 龙婷婷89.2
268 郑宇涛89.2
二等奖(19名):
269 黄冬佟89.0
269 阳娇89.0
154 李捷88.8
268 谭证武88.8
151 罗涛88.7
268 罗莉88.7
268 曾紫凰88.7
268 谢骏88.7
270 曾彤88.7
269 王蜜88.5
159 黄俊杰88.5
270 刘锦88.5
269 刘功霞88.5
272 刘青云88.3
158 贺婷88.3
158 宋园园88.3
154 曹新怡88.3
155 万子璇88.3
270 刘娜88.3
三等奖(15名):
270 谢颖88.2
269 郭中静88.2
162 刘立阳88.0
155 张梦婷88.0
158 廖小虎88.0
272 李睿88.0
269 彭美慧88.0
269 陈熙88.0
271 谭键88.0
271 贺亚敏88.0
272 董三彰87.8
151 刘文谐87.8
271 陈嘉玲87.7
269 陈聪慧87.7
268 廖丽文87.7
162班 贺洋
268班 谢夏谊
164班 曹颖
154班 曹丹丹
271班 陈素芝
162班 龙婷婷
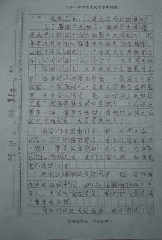
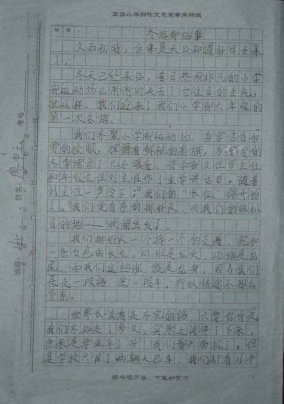
265班 廖申玉
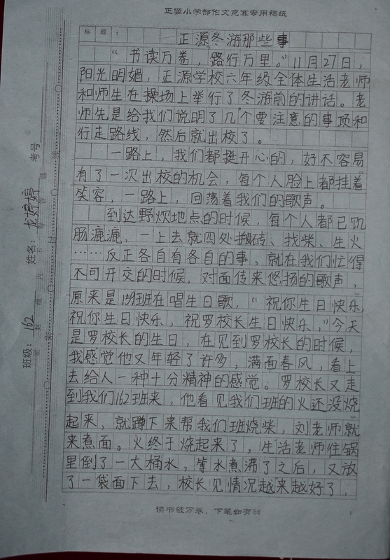
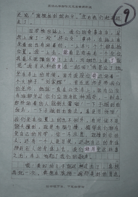
162班 陈诗琪
270班 杨思
【审编 / 郑少君】
| 感动 | 同情 | 无聊 | 愤怒 | 搞笑 | 难过 | 高兴 | 路过 |
- 上一篇:天寒感冒早预防 正源学子喝姜汤
- 下一篇:欢声笑语冬游去,并肩携手满载归——记小…
相关文章
-
没有相关内容

会员登录