冬游的激情化作五彩的文字飞扬 ——小学部五年级“冬游”作文大赛揭晓
冬游的余温还在脚底发热,一篇篇颇具童趣、童心的文字也随之传漾开了。12月21日晚自习时间,小学部五年级“冬游”作文大赛如火如荼地举行。九百多支神笔带着九百多颗跳跃的童心,像五彩的蝴蝶,在校园里翻飞戏舞。
不似春天,胜似春天。尽管“小作家”们的文字尚显稚嫩,依然掩饰不了字里行间的激情和纯美,孩子们苹果一样红彤彤的脸蛋上,荡漾的是满满的春意。看他们的文字,有的在留恋湖光山色,有的在回味野炊美食,有的在徜徉佛殿神堂,有的在感叹山路崎岖……
本次作文大赛分设一、二、三等奖共三个奖项,形式上分初赛、复赛。评委们从全年级九百多篇初赛作文中筛选出八十六篇优秀作文,然后再根据大赛相关规则,最终评选出一等奖六个,二等奖十个,三等奖三十三个。大赛真正体现了公开、公平、公正的原则。极大地丰富了学生的写作生活,拓宽了学生的知识视野。
本次“冬游”作文大赛是继“祖国在我心中”作文大赛后年级举行的第二次作文大赛。
前后两次作文赛,极大地提高了学生们的写作兴趣和写作水平。
| 一等奖 | 二等奖 | 三等奖 | |
| 183 廖珊 | 189 杨婷 | 192 潘建程 | 184 伍嘉轩 |
| 185 周璐 | 185 刘心怡 | 181 龙佩 | 186 周琴 |
| 187 陈萱 | 187 谢阶学 | 188 王俊 | 188 柏希 |
| 188 阳丽春 | 187 梁晓菊 | 194 曾佳 | 181 曹梦丹 |
| 181 陈鑫宏 | 185 邓小萍 | 181 夏擎宇 | 189 陈弘忠 |
| 185 黄洁 | 189 毛艳 | 185 李婷 | 191 张璟 |
| 195 黎龙路 | 181 刘毅 | 184 肖静 | |
| 196 曾金珠 | 181 陈志伟 | 181 黎浩 | |
| 188 阳粤红 | 189 王凰辉 | 182 胡佳丽 | |
| 185 曹丽婷 | 192 邓广情 | 197 李仪 | |
| 189 罗可 | 187 谭俞亨 | ||
| 187 刘泱 | 187 蒋金伟 | ||
| 194 邝望伟 | 186 王茜 | ||
| 187 文靓 | 186 阳志超 | ||
| 195 刘佳仪 | 196 罗庆 | ||
| 192 廖相怡 | 185 谢智灵 | ||
| 192 曾翠 | 189 曹美美 | ||





187班 陈萱
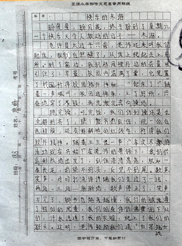
185班 周璐
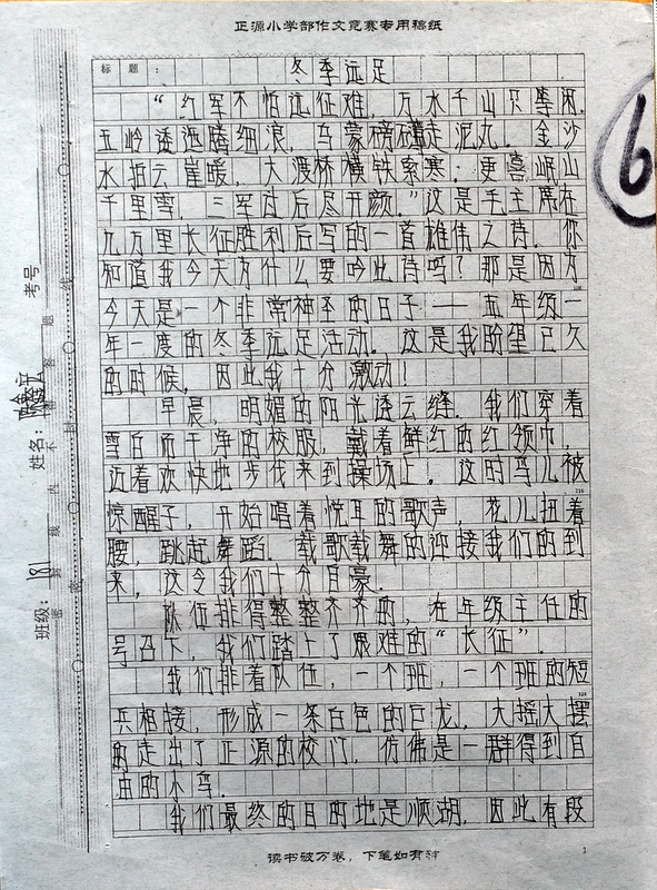
183班 廖珊
181班 陈鑫宏
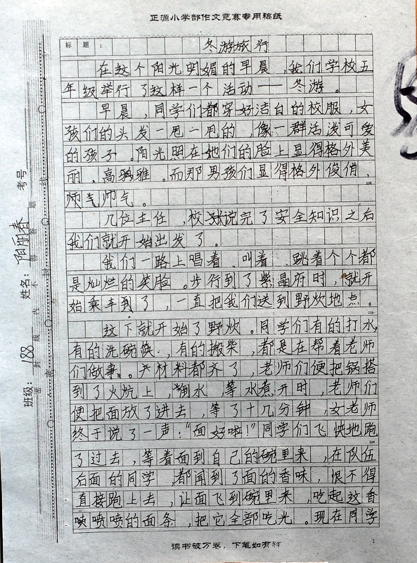
188班 阳丽春
185班 黄洁
【编辑/何然】
| 感动 | 同情 | 无聊 | 愤怒 | 搞笑 | 难过 | 高兴 | 路过 |
相关文章
-
没有相关内容

会员登录