写规范字,做正直人——正源五年级学生举行硬笔书法大赛
写好汉字是每一个中国人应具备的最基本的素质。书法作为一门优秀的传统艺术,它源远流长,博大精深,是我国古代文化中的瑰宝,弘扬祖国传统艺术、开展书法欣赏和比赛活动是我们义不容辞的责任。
为展示学生书法风采,增强学生写规范字、用规范字的意识,传承传统文化,正源小学部11月18日晚举行了“写规范字 做正直人”硬笔书法大赛,让汉字艺术绽放菁菁校园。灯光下的学生们书写过程中认真仔细的写好每个笔画,一撇一捺都规规矩矩的,力求完美,写出来的作品既端正又精神。正所谓书论大家孙过庭说过:“一点成一字之规,一字乃终篇之准。”
通过这次书法大赛活动,展示了五年级学生的硬笔书法风采,增强学生写规范字、用规范字的意识,将促进学生良好书写习惯的养成,对传承传统文化、营造校园文化也将起到积极推动作用。
特等奖
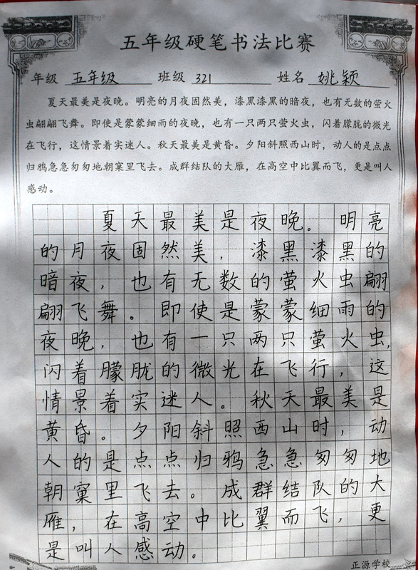
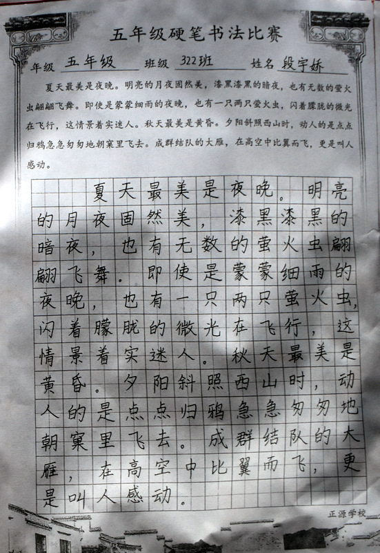
315曹欣妍 321姚颖 322段宇娇
317李博宇 324谭家欣 308陈思怡
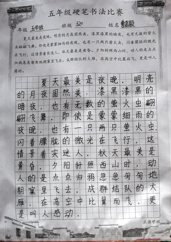
308阳尧茜 308黄铭师 320曹嘉毅 323李婷
一等奖
307熊开睿 320谷世顺 321郑子瑞 318雷佳
316李青源 307李璨 322王昕雯 309谢辉勋
325匡诗怡 324谢宇洋 322廖宇轩 306蔡舒雅
316黄丽芳 316肖蔓妮 310曾欢 315刘婧
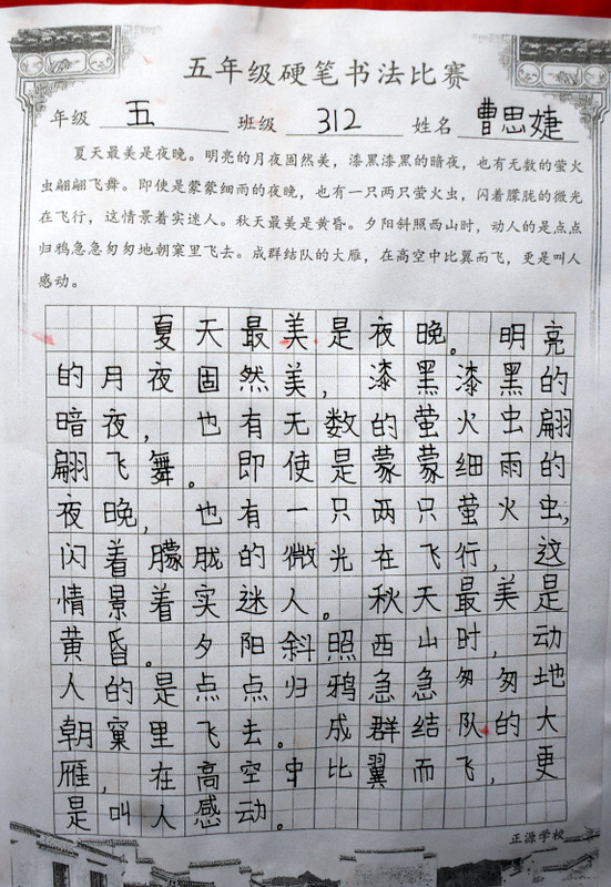
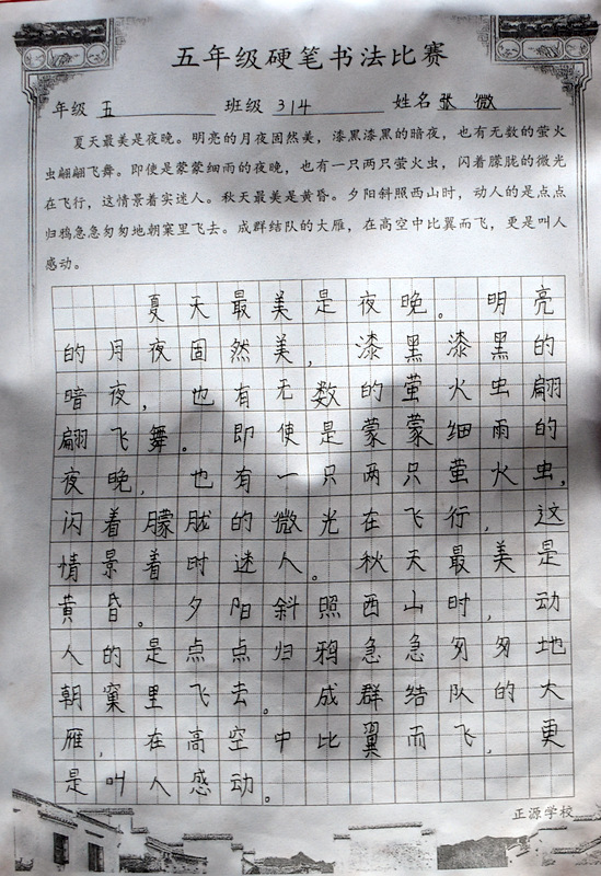
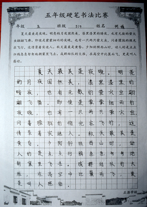
309贺佳琳 311苏梓皓 312曹思婕 314张薇
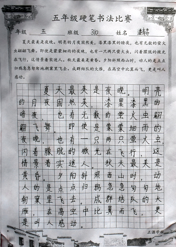
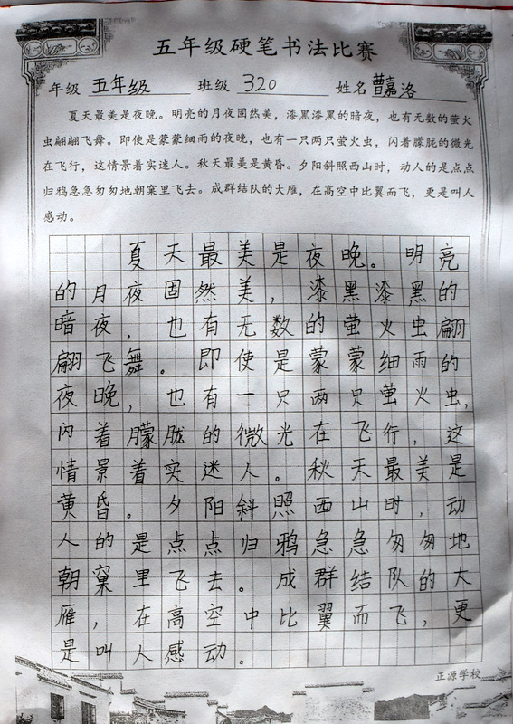
310潘寿芬 318雷谷嘉 314陈佳西 320曹嘉洛
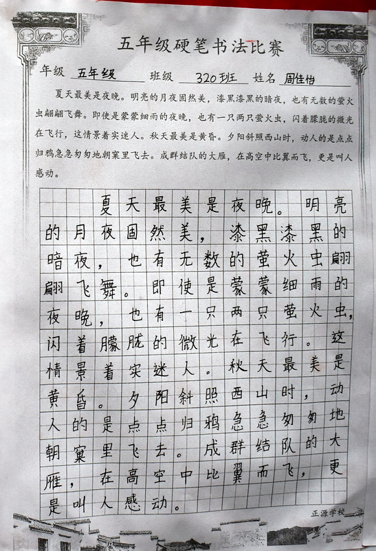
320周佳怡 324梁诗琴 313谢佳怡 320郭雨嫣
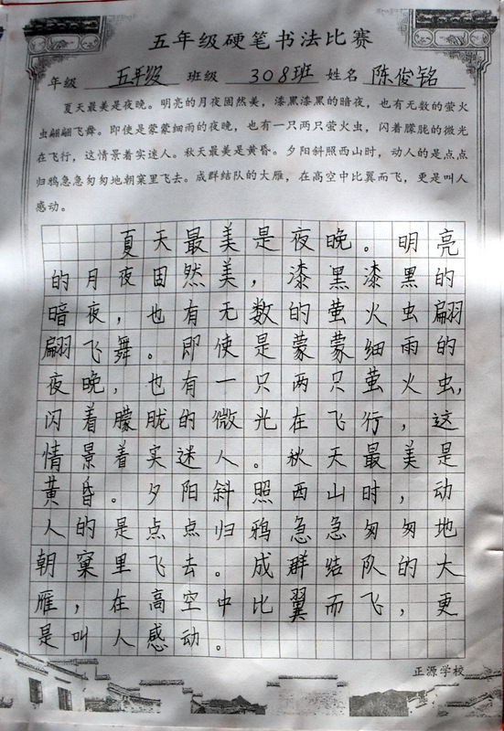
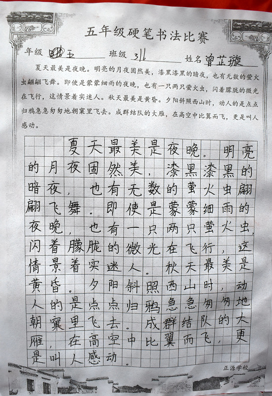
308陈俊铭 316曾芷旋
二等奖
321谢家玉 321刘力邦 322陈方圆 320郑雅菲
320姿怡 320雷佳婷 312谷萱 321刘礼波
309段保强 309曹震宇 316谢依玲 313李可
310李昭研 315刘乘枫 315罗斌 306 刘璐璐
308贺萌萌 307曹嘉琪 307李婷艳 319周淳
314李雅菁 315黄子怡 315刘若英 312谷浩然
317龙佳容 307唐书怡 324邓南浩 325李玉洁
323张莉 320资岱君 325李子瑞 313杨诗语
313李一诺 307刘萱 313李晓晴 306曾梁
316梁欣怡 324刘雪晴 324唐彦 311陆雨婷
311陈菲尔 306罗西洋 306刘嘉祥 306龙小倩
324贺诗琪 315江楚帅 312刘苏帆 315刘禹哲
318李志祥 318李佳 317梁新平 310陈江月
325贺想 325梁炜豪 312王思雨 314何娟
312王嘉乐 322陈诗婷 322陈睿诗
三等奖
314黄宇轩 314刘佳 318徐哲 318阳嘉琪
317杨捷 317肖彤 317廖杨利 317蒋甜甜
312刘少东 312罗晗 314伍依晨 314阳程杰
321段烨 321梁家望 321曹燕泉 308李宜彬
308蒋紫萱 308曾德琥 307刘悦 307欧阳润怡
307黄家豪 311王自强311段玉兰 316袁宗旺
316梁艳 311周世杰 311曾亚杰 316李佳贝
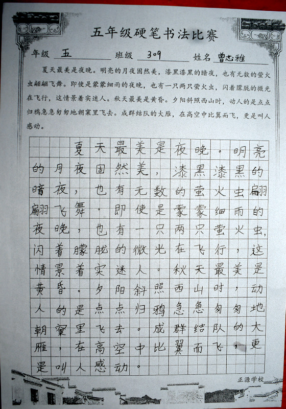
306杨韬 306李旭阳 309罗玉婷 309曾芯雅
309卜欣怡 309梁美丽 309李伟琪 322谢婷
309廖锦豪 322资嘉妮 321伍永超 321谢敏
310罗鸿亮 310刘思琴 310欧阳梦娟 325肖瑜
325倪秋峡 325陆宇轩 325邓佳 324李智媚
323梁家晴 323李家昌 323伍妙娴 323刘景轩
323齐翔 323刘悦 315罗佳柔 315邝湘玲
323李康睿 311何顺祥 311张涵文 311罗威
319段嘉乐 306胡成菊 321汤杰 313王小月
308廖懿轩 313陈科宏 317梁新安 313陆洋
313彭粤欣 313黄怡 322罗光源 310罗琳菲
310徐凝 310宋子怡 324蒋湘婷 312李晓萱
319陈妮 319李梓琪 319伍艾轩 318王凯
318肖欣怡 318罗豫晨 318黄梓宏 319李阳
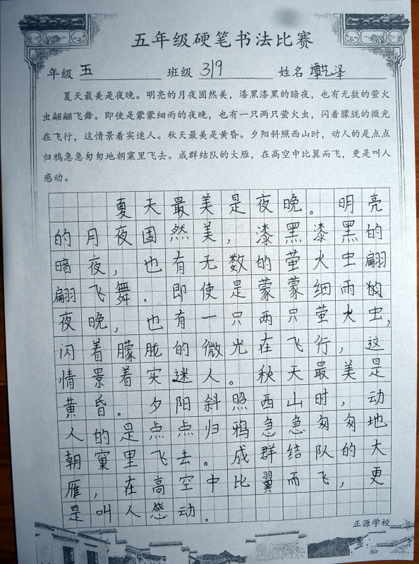
319李寒冰 307颜彪 319陈家鸿 319谭艺泽
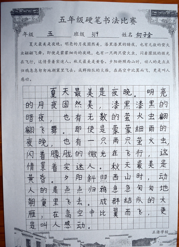
319何子含 306刘骏 323周蕊 322曾湘悦
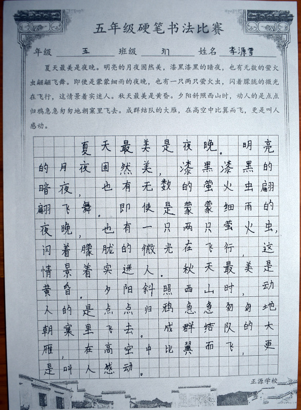
325李志明 317李源雪 312黄薇 312周丹桦
314梁仁











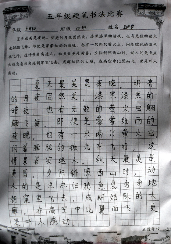
特等奖作品










一等奖作品






























二等奖部分作品





三等奖部分作品





| 感动 | 同情 | 无聊 | 愤怒 | 搞笑 | 难过 | 高兴 | 路过 |
- 上一篇:小学部五年级经典美文背诵比赛
- 下一篇:纪录须打破,奇迹靠创造
相关文章
-
没有相关内容

会员登录